3. Zur Veränderung der Sichttiefe
Allgemeine Entwicklung
Der Anstieg der Nitrat- und Phosphat-Konzentration bewirkt in erster Linie nach längerer Zeit eine starke Erhöhung der Phytoplankton-Konzentration, die im späteren Verlauf durch veränderte Lichtverhältnisse nicht mehr so schnell wie anfangs anwächst. Im Zuge dessen verringert sich auch die Sichttiefe, wobei der durch die größere Nahrungsgrundlage anwachsende Bestand heterotropher Planktonorganismen zeitlich verzögert eine nochmals verstärkte Abnahme der Sichttiefe bewirkt.
Faktoren, die die Sichttiefe beeinflussen
Der bedeutendste Umweltfaktor, welcher eine Veränderung der Sichttiefe bewirkt, ist die Phytoplankton-Konzentration. Alle weiteren biotischen Einflüsse, die ebenfalls die Sichttiefe verändern können, hängen im wesentlichen von dieser Größe der autotrophen Zellen ab, so z.B. die Konzentration anderer Planktonorganismen oder die tote Biomasse, die durch Flotation nicht sofort auf den Gewässerboden absinkt. Flotation bedeutet in diesem Fall die Abscheidung von z.B. Blaualgen oder anderen kleineren Organismen auf der Wasseroberfläche durch kleinste Gasbläschen, welche durch die Zersetzung der toten Biomasse entstanden sind. Es könnten auch abiotische Faktoren eine Rolle spielen wie zum Beispiel makroskopische Aggregate, sprich aufgewirbelter Schlamm, oder gelöste, farbige Ionen, welche die Transparenz des Wassers herabsetzen. Der zuletzt genannte Faktor kann jedoch meist keine wesentliche Veränderung hervorrufen.
Die Phytoplankton-Konzentration, ein Maß für die Sichttiefe des Bodensees
Wie kurz vorher festgestellt, ist die Phytoplankton-Konzentration der Umweltfaktor, der die maßgebende Rolle bei Schwankungen der Sichttiefe spielt. Bevor aber dieser Zusammenhang betrachtet wird, ist es wichtig, die Ursachen für das veränderte Phytoplankton-Wachstum und damit für seine Konzentrationsänderung zu nennen, sowie die Art und Weise ihrer zeitlichen Entwicklung zu klären.
Eine längerfristige Änderung des Phytoplanktonwachstums kann nur durch ebenso langandauernde, beeinflussende Änderungen von anderen Umweltfaktoren hervorgerufen werden. Dies soll bedeuten, dass für die Konzentrationsänderungen im mittleren Diagramm beispielsweise Temperatur und CO2-Konzentration (nahe der Wasseroberfläche) keine Bedeutung haben, obwohl sie das Phytoplanktonwachstum beeinflussen, weil sie im langjährigen Mittel annähernd konstant bleiben. Ausschlaggebend sind also sich verändernde, beeinflussende Faktoren. Dies sind am Beispiel des Bodensees zunächst die Konzentrationen der für das Phytoplankton lebensnotwendigen, anorganischen Nährstoffe wie Nitrate und Phosphate. Im späteren Verlauf spielt auch noch der abnehmende Lichteinfall durch sinkende Sichttiefe eine Rolle.
Wie schon beschrieben nehmen die Konzentrationen von Nitrat und Phosphat annähernd exponentiell zu. Dies beeinflusst die Phytoplankton-Konzentration dahingehend, dass auch sie im ersten Zeitabschnitt einem exponentiellem Zuwachs ähnelt, jedoch die Wachstumsrate durch die vom Phytoplankton selbst verursachte, im unteren Diagramm dargestellte Verringerung der Sichttiefe und des Lichteinfalls immer weiter abnimmt, obwohl genügend Nährstoffe zur Verfügung stehen. Daraus wird ersichtlich, dass der limitierende Faktor zuerst die Konzentration der anorganischen Nährstoffe ist, danach jedoch die Lichtintensität das Phytoplankton-Wachstum begrenzt. Um herauszufinden, welche der beiden Ionenarten den Zuwachs tatsächlich begrenzt, muss das Verhältnis zwischen der vom Phytoplankton aufgenommenen Menge Stickstoff und Phosphor bekannt sein:
Molares Verhältnis der N-P-Aufnahme: y(ideal) = n(N) : n(P) = c(N) : c(P) = 16 : 1
Für die Berechnung des limitierenden Nahrungsfaktors gelten folgende Voraussetzungen:
Die im oberen Diagramm angeführten Massenkonzentrationen für Nitrat und Phosphat beziehen sich nur auf die Anionen und nicht auf die gesamte Verbindung (c(Nitrat) = c(NO3- )), weil sonst keine genaue Aussage über die Konzentration der chemisch ausschlaggebenden Nitrat- und Phosphat-Ionen möglich ist. Würde sich die Massenkonzentration auf die Masse der gesamten Verbindung beziehen, so könnte eine Konzentration von 50 mg/m³ pro Volumeneinheit die gleiche Menge Nitrat-Ionen enthalten wie eine Konzentration von 20 mg/m³, weil in der ersteren die Kationen der Verbindung eine größere Masse besitzen.
Stickstoff und Phosphor kommen im Bodensee als Nährstoffe für Pflanzen nur in Form von Nitrat- und Phosphat-Ionen vor. D.h. N2-bindende Zellen werden von dieser Berechnung ausgeschlossen, da sie im Wasser gelösten molekularen Stickstoff aus der Luft aufnehmen.
Berechnung des limitierenden Nährstoff-Faktors für das Phytoplankton:
Massenkonzentration vom Stoff A = b (A) = m(A) : V(Lösung)
Stoffmengenkonzentration vom Stoff A = c(A) = n(A) : V(Lösung)
Molare Masse vom Stoff A, M(A) = m(A) : n(A) Û n(A) = m(A) : M(A)
1955:
b (NO3- ) = 700 mg/m³
= 0,7 g/m³ ; M(NO3- ) = 62 g × mol- 1
![]()
b (PO43- ) = 5,8 mg/m³
= 0,0058 g/m³ ; M(PO43- ) = 95 g × mol- 1

1970:
b (NO3- ) = 900 mg/m³
= 0,9 g/m³
c(N) = 0,0145 mol/m³
b (PO43- ) = 40 mg/m³
= 0,04 g/m³
c(P) = 4,21 × 10-4 mol/m³
![]()
Wie aus der Berechnung erkenntlich wird, ist im gesamten Beobachtungszeitraum die Phosphat-Konzentration der limitierende Nährstoff-Faktor für das Wachstum des Phytoplanktons. Jedoch wird zudem sichtbar, dass der relative Überschuss des Stickstoffs in Bezug auf Phosphor innerhalb des Zeitraums abnimmt. Dies bedeutet, dass der Wert des limitierenden Faktors im Verhältnis zunimmt und damit die Wachstumsgrenze zu einem größeren Wachstum hin verschoben wird und ein anfangs exponentielles Wachstum des Phytoplanktons ausgelöst wird. Verantwortlich für das Abflachen der Konzentrationskurve im mittleren Diagramm ist der rückwirkende Zusammenhang zwischen Sichttiefe und Phytoplankton-Konzentration über die einfallende Lichtintensität und der damit verbundenen Abnahme der Photosyntheserate, sodass nicht mehr genug Energie zum Überleben aller Phytoplanktonorganismen vorhanden ist. D.h. die Beziehung der beiden Größen der zwei unteren Diagramme ist nicht nur einseitig, sondern wechselseitig: Eine höhere Phytoplanktonkonzentration bewirkt eine geringere Sichttiefe, aber eine geringere Sichttiefe verursacht eine niedrigere Lichtintensität und damit eine gebremstes Phytoplankton-Wachstum. Schließlich nimmt die Phytoplankton-Konzentration nur noch langsamer zu oder vermindert sich sogar.
Zuletzt soll noch der Zusammenhang der Form der Graphen von den beiden unteren Diagrammen mathematisch betrachtet werden.
Eine erste Vermutung wäre, dass der Zusammenhang beider Größen direkt umgekehrt proportional ist, d.h. Sichttiefe T ~ 1/Konzentration c, jedoch muss Folgendes beachtet werden:
In einem Würfel konstanter Kantenlänge a befinden sich zunächst z Phytoplanktonzellen, die im Würfel so angeordnet sind, dass ihre Abstände untereinander konstant bleiben und die Verbindungslinien aller benachbarten Zellen parallel zu einer Kante des Würfels liegen:
Wenn n die Anzahl der Reihen bzw. Spalten entlang einer Kante darstellt, so gilt:
![]()
![]()
Eine wahrscheinlichere Anordnung als die oben dargestellte ist die Folgende:
(Darstellung zweier hintereinander gelegener Ebenen)
Ein Lichtstrahl, der auf der Geraden g verläuft, trifft nur auf die Hälfte von n Zellen:
![]()
![]()
Würde die Lage des Würfels bezüglich der Wasseroberfläche so verändert werden wie in der folgenden Abbildung, könnte der Lichtstrahl entlang der Geraden g` durch n Zellen absorbiert werden:
Der Würfel könnte auch die Wasseroberfläche nur mit einer Ecke berühren, sodass der Strahl diagonal hindurchlaufen könnte, doch die Einbeziehung solcher Sachverhalte wäre in diesem Rahmen zu kompliziert.
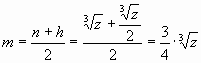
Vereinfacht liegt der Wert der Zahl von Zellen, durch die der Lichtstrahl durchtritt, bei einem Würfel mit z Zellen zwischen h und n. Um nur ein grobes Ergebnis zu erhalten wird der Mittelwert m berechnet:

Zwischen m und der Sichttiefe T herrscht eine direkt umgekehrte Proportionalität, weil beispielsweise eine Verdopplung der Zahl von Zellen, durch die der Lichtstrahl verläuft, eine Halbierung von T bewirkt:
![]()
Da z nur ein Ausdruck für die Zahl der Zellen in einer bestimmten Volumeneinheit ist, gilt:
z = c.
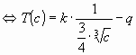
Daraus ergibt sich ein Zusammenhang zwischen c und T, wobei einerseits noch ein Proportionalitätsfaktor und andererseits ein absolutes Glied q, das die zusätzliche Abnahme der Sichttiefe durch andere Faktoren berücksichtigt, angegeben werden müssen:
; k, q > 0

; (4:3)×
k = k`
![]()
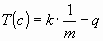
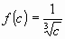
Zum Vergleich des ermittelten Zusammenhangs und des unteren Diagramms für die Sichttiefe sind k` und q nicht notwendig, sodass folgende Funktion f(c) entsteht:
![]()
Da im Diagramm des Aufgabenblatts die y-Achse an der x-Achse gespiegelt wurde, kann die Funktion f zur Funktion g überführt werden, damit der Graphenverlauf besser verglichen werden kann, dabei gilt y = -T:
![]()
Der Graph für g(c) verläuft folgendermaßen:
Die Besonderheit des ermittelten Zusammenhangs im Vergleich zur anfangs vermuteten Antiproportionalität T ~ 1/c ist die wesentlich verzögerte Annäherung zum Nullwert der Sichttiefe. Bestünde eine direkte Antiproportionalität zwischen Phytoplankton-Konzentration und Sichttiefe, so würde die Sichttiefe bei relativ geringen Konzentrationen noch stärker verringert werden als dies bei der Funktion T(c) der Fall ist.
Noch ist aber kein Vergleich zwischen ermittelter Beziehung und Diagramm des Aufgabenblatts möglich, da der Graph g einen T-c-Zusammenhang darstellt. Benötigt wird aber der T-t-Zusammenhang. Der Graph g kann unverändert in ein T-t-Diagramm übertragen werden, wenn der Anstieg des Graphen im c-t-Diagramm den Wert eins annimmt:
Verringert sich der Anstieg von Graph c, so flacht der Graph t entsprechend ab. Wichtig ist zum Schluss noch das Verhalten des Kurvenverlaufs vom T-t-Zusammenhang für den tatsächlichen Konzentrationsverlauf des Phytoplanktons wie im mittleren Diagramm des Aufgabenblatts. Dazu geht man vom linearen Verlauf der Phytoplankton-Konzentration aus und berücksichtigt die Abweichungen vom Graph c* gegenüber c entsprechend in Graph t* gegenüber t. Somit erhält man eine Näherung:
Für das Zeitintervall von 1940 bis 1970 stellt der T-t-Zusammenhang eine gute Näherung zum gemessenen Sichttiefe-Zeit-Zusammenhang im Aufgaben-Diagramm dar, wenn man bedenkt, dass der Graph t* bei Stauchung des c-t-Zusammenhangs zur Anpassung an die wirkliche Messkurve noch abflacht, sodass die Ähnlichkeit des Graphen des Aufgabendiagramms mit t* zunimmt. Der sprunghaft größer werdende Anstieg von t* kurz vor D TA und die sehr geringe Abweichung zwischen t und t* bei größeren Zeiten kommt dadurch zu Stande, dass mit längerer Zeit auch die Konzentration c größer wird, und für den T-c-Zusammenhang gilt aufgrund des Terms mit der reziproken dritten Wurzel aus der Konzentration allgemein:
bei kleinem c Þ D c < D T (Bedingung 1)
bei großem c Þ D c > D T (Bedingung 2)
Der Sprung der Abnahmerate von der Sichttiefe vor D TA hängt also mit dem Wechsel beider Bedingungen zusammen. Jedoch kann die eingangs erwähnte zeitlich verzögerte Erhöhung der Konzentration heterotropher Planktonorganismen, die das Phytoplankton als Nahrungsgrundlage nutzen, ein weiterer Grund für die drastisch steigende Abnahmerate der Sichttiefe um etwa 1947 sein.
Eine andere Problematik verbirgt sich im Zeitabschnitt 1935 bis 1940 zwischen dem Graphen der Phytoplankton-Konzentration und der Sichttiefe. Während die Phytoplankton-Konzentration leicht abfällt, sinkt zugleich die Sichttiefe um circa 20 Zentimeter. Vielleicht gab es im Bodensee zu dieser Zeit eine große Sterberate beim Phytoplankton oder anderen Planktonorganismen, sodass eine gehäufte Ansammlung toter Biomasse im Oberflächenwasser auftrat und somit die Sichttiefe abnahm. Dies würde den Rückgang der Phytoplankton-Konzentration erklären. Eine andere Möglichkeit wäre, dass die Verunreinigungen der in den Bodensee eingeleiteten Abwässer zu dieser Zeit eine starke Trübung des Wassers hervorriefen und sekundär für die Abnahme der Phytoplankton-Konzentration verantwortlich waren. Sicher ist nur, dass die Entwicklung der autotrophen Planktonorganismen und der Sichttiefe hierbei nicht durch Veränderungen der Nitrat- und Phosphat-Konzentration zu deuten ist.