Beschreibung der Kurvenverläufe
Nitrat- und Phosphat-Konzentration
Allgemeine Beschreibung der Nitrat- und Phosphat-Kurve
Es handelt sich beim obersten Diagramm um eine Darstellung des zeitlichen Verlaufs der Nitrat- bzw. Phosphat-Massenkonzentration im Bodensee innerhalb des Beobachtungszeitraums von 1930 bis 1970. Die Kurvenverläufe zeigen eine Zunahme beider Konzentrationen auf, die einem exponentiellen Wachstum ähneln. Dabei ist jedoch weiterhin festzustellen, dass einerseits zu Beginn des Beobachtungszeitraums die Phosphat-Konzentration verschwindend gering bzw. Null ist, die Nitrat-Konzentration jedoch schon bei ca. 600 mg/m³ vergleichsweise höher liegt, und dass andererseits während der angeführten Zeitspanne die Nitrat-Konzentration im Vergleich zu der von Phosphat wesentlich schneller zunimmt und bis auf rund 900 mg/m³ gegen Ende des Zeitraums ansteigt. Dagegen erhöht sich die Phosphat-Konzentration im gesamten Zeitraum nur um 40 mg/m³. Vergleicht man im Gegenzug End- und Anfangswert derselben Ionenverbindungen mit sich selbst, dann stellt man fest, dass die Konzentration an Nitraten von 1930 bis 1970 um 33 Prozent bezüglich des Endwerts zunimmt, die Konzentration der Phosphate sogar um rund 100 Prozent, weil zuvor keine messbare Konzentration vorlag. Beachtenswert erscheint auch die Tatsache, dass beide Graphen 1930 kaum einen Anstieg besitzen, sodass die Konzentrationszunahme auch wirklich erst in dem vorgegebenen Beobachtungszeitraum einsetzt.
Detailanalyse der zeitlichen Veränderung der Nitrat-Konzentration
Im Folgenden wird zunächst geprüft, ob die Konzentrationszunahme annähernd exponentiell ist.
![]()
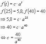
f(t) = Massenkonzentration des Nitrats in mg/m³
c = Streckungsfaktor
a = Basis
t = Zeit in Jahren (a); t0 = Beobachtungsbeginn = 0 (entspricht 1930)
t = Jahreszahl - 1930

Die nun durch zwei Punkte des Graphen aufgestellte Funktionsgleichung für den Konzentrationsanstieg, muss weiterhin durch einen dritten Punkt des Graphen bestätigt werden, um einen exponentiellen Zuwachs als wahrscheinlich gelten zu lassen. Im Jahre 1955 erreichte die Nitrat-Konzentration einen Wert von 700 mg/m³. Im folgenden wird versucht, diesen Wert durch Berechnung mit der Funktionsgleichung zu ermitteln:

Þ Nitrat-Massenkonzentration 1955:
- theoretischer Wert (nach exponentiellem Wachstum): 741 mg/m³
- gemessener Wert: 700 mg/m³
- Vergleich beider Werte: 741 mg/m³ = 1,06 × 700 mg/m³ Þ Der theoretische Wert ist um rund sechs Prozent größer als der gemessene.
Resultat/Auswertung:
Die Konzentrationszunahme an Nitrat pro Zeit über den gesamten Zeitraum von 1930 bis 1970 ist annähernd exponentiell.
Weiterhin kann man die Abweichung folgendermaßen interpretieren: Aus dem berechneten Wert der Konzentration für 1955 im Vergleich mit dem gemessenen geht hervor, dass die Nitrat-Konzentration in der ersten Hälfte des Beobachtungszeitraums mit einer kleineren Basis a1 exponentiell zunimmt als in der zweiten Hälfte, in der sie mit einer höheren Basis a2 ansteigt, weil der theoretische Wert mit der Basis a, der im mittleren Bereich des Zeitraums liegt, größer als der gemessene Wert ist. Man kann die Aussage sogar in der Weise erweitern, dass der Konzentrationszunahme bei jedem Zeitpunkt eine eigene Exponentialfunkion zugeordnet ist, wobei sich aber nur die Basis pro Zeit verändert. In diesem Fall nimmt die Basis at während der Beobachtung immer größere Werte an. Letztendlich folgt daraus die einfache Aussage, dass die Nitrat-Konzentrarion ab 1930 „langsam exponentiell" ansteigt und im weiteren Verlauf bis 1970 nicht nur exponentiell, sondern „immer schneller exponentiell" zunimmt.
Detailanalyse der zeitlichen Veränderung der Phosphat-Konzentration
Messwert-Tabelle 1
gemessene Konzentrationswerte für Phosphat zu bestimmten Jahreszahlen:
|
Jahreszahl in a |
1930 |
1955 |
1964 |
1970 |
|
Beobachtungs- zeit t in a |
0 |
25 |
34 |
40 |
|
gemessene Konzentration in mg/m³ |
0 |
5,8 |
16,7 |
40 |
Ermittlung der zugehörigen Exponentialfunktion:


Konzentrationswerte für Phosphat laut Berechnung in mg/m³:
f(0) = 0,23
f(25) = 5,80
f(34) = 18,47
f(40) = 40,00
Auswertung:
Die berechnete Phosphat-Konzentration für den Zeitpunkt Null liegt über der gemessenen, weil aus mathematischen Gründen dieser Wert für die Funktion nicht null werden darf. Im Groben kann man auch bei der Konzentrationszunahme des Phosphats von einem exponentiellen Wachstum ausgehen. Da die Konzentration von 1964 laut Berechnung höher liegt als die tatsächlich gemessene, ist auch analog zum Nitrat beim Phosphat eine „überexponentielle" Zunahme festzustellen.
Phytoplanktonkonzentration
Im mittleren Diagramm ist die zeitliche Veränderung der Phytoplankton-Konzentration in einem Beobachtungszeitraum von 1935 bis 1970 dargestellt. Dabei gilt als Konzentrationsangabe die Individuenzahl an Phytoplankton-Zellen in einer bestimmten Volumeneinheit, die in diesem Fall das Milliliter ist. Zu Beobachtungsbeginn, d.h. 1935, befindet sich der Wert der Konzentration bei 400 Zellen pro Milliliter (Z/ml). Dieser Wert nimmt bis etwa 1940 leicht ab, das bedeutet um circa 10 Z/ml. Danach steigt die Konzentration bis 1955 etwa exponentiell immer schneller an. Um 1955 ist die Wachstumsrate, die dem Anstieg der Kurve entspricht, im Groben stabil bis sie anschließend abfällt, sodass die Konzentration nach diesem Zeitraum immer langsamer anwächst, jedoch einen Höchstwert von 2000 Z/ml darstellt, und die Wachstumsrate im Jahr 1970 wieder auf den Wert des Zeitraums 1940-45 zurückfällt. Die Konzentration zum Ende des Zeitraums ist rund fünfmal größer als zu Beginn der Beobachtung. Der Zeitabschnitt von 1940 bis 1970 eignet sich zur mathematischen Untersuchung, da hier eine dem logistischen Wachstum ähnelnde Graphenform vorliegt. Es wird im Folgenden geprüft, ob die Zunahme der Phytoplankton-Konzentration einem logistischen Wachstum entspricht bzw. wenn nicht, welche Abweichungen vorliegen. Für die Berechnung wird die logistische Wachstumsgleichung benötigt:
![]()
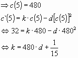
c(t) = Konzentration des Phytoplanktons in Z/ml
c`(t) = Wachstumsrate der Konzentration (zur Vereinfachung dimensionslos) = Kurvenanstieg
k = Wachstumsfaktor
d = Depressionsfaktor
t = Zeit in Jahren (a) ab Beobachtungsbeginn (t0 = 0 entspricht Jahreszahl = 1940) der mathemat. Untersuchung
= Jahreszahl – 1940
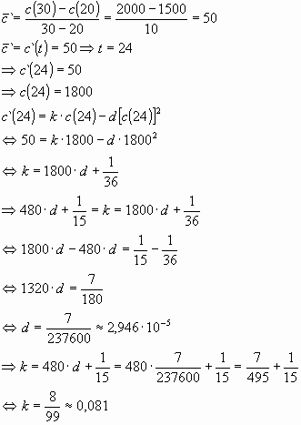
Unbekannte Variablen sind k, d und c`(t). Die Werte für c(t) sind aus dem Diagramm ablesbar: Messwert-Tabelle 2
|
Jahreszahl in a |
1940 |
1950 |
1960 |
1970 |
|
Zeit t in a |
0 |
10 |
20 |
30 |
|
Phytoplanktonkonzentration c(t) in Z/ml |
400 |
720 |
1500 |
2000 |
Um zu überprüfen, ob ein logistisches Wachstum vorliegt, muss man die Zeit t der in Messwert-Tabelle 2 gegebenen Zuordnungen in die logistische Wachstumsfunktion einsetzen, um dann bei logistischem Wachstum dieselben bzw. ähnliche Konzentrationswerte wie in der Tabelle zu erhalten. Die logistische Wachstumsfunktion lautet:

c0 = Konzentration bei t0 (= 0 a)
= 400 [Z/ml]
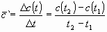
Das Zwischenziel ist also die Berechnung von Wachstums- und Depressionsfaktor. Dies gelingt unter Zuhilfenahme der logistischen Wachstumsgleichung und zweier graphisch ermittelter Wertetripel von t, c`(t) sowie c(t), weil dabei ein Gleichungssystem mit zwei Gleichungen und zwei Unbekannten (d, k) gebildet werden kann. Für eine möglichst bequeme graphische Ermittlung des Anstiegs in einem Zeitpunkt t wird die Gleichung des „Durchschnittsanstieg", d.h. der Durchschnittswachstumsrate, im Intervall I = [t1;t2] benötigt:
![]()
Mit Hilfe dieser durchschnittlichen Wachstumsrate, welche graphisch die Sekante durch die Punkte P1(t1;c(t1)) und P2(t2;c(t2)) darstellt, kann durch eine Parallelverschiebung die momentane Wachstumrate zum Zeitpunkt t mit dem gleichen Wert der Durchschnittswachstumsrate ermittelt werden, indem die Sekante zu einer Tangente der Kurve verschoben wird. Der Schnittpunkt der Tangente mit dem Graphen liefert dann den Zeitpunkt t und die zu der Zeit vorhandene Konzentration c(t). Dieses Verfahren muss für zwei Intervalle durch geführt werden, da wie erwähnt zwei Wertetripel notwendig sind.
I1 = [0;10]


I2 = [20;30]

Schließlich muss man nun die Werte für c(t) mittels der Wachstumsfunktion berechnen und kann sie mit den Messwerten vergleichen:
Tabelle 1
|
Jahreszahl in a |
1940 |
1950 |
1960 |
1970 |
|
|
Zeit t in a |
0 |
10 |
20 |
30 |
|
|
Messwerte |
400 |
720 |
1500 |
2000 |
|
|
Berechnung |
400 |
760 |
1268 |
1806 |
|
gemessenen Kurvenverlauf und der idealen logistischen Wachstumskurve übertrieben, schematisch dargestellt:
Sichttiefe
Im unteren Diagramm ist für den Zeitraum von 1935 bis 1970 die zeitliche Veränderung der Sichttiefe in Metern dargestellt. Dem Kurvenverlauf ist zu entnehmen, dass die Sichttiefe über das gesamte Intervall permanent von rund 9,2 m auf etwa 7,7 m abnimmt. Dabei unterscheiden sich allgemein drei zeitliche Abschnitte mit unterschiedlicher Entwicklung. Der erste Abschnitt beginnt 1935 und endet etwa 1945/46. In diesem Zeitraum nimmt die Sichttiefe zwar etwas ab, jedoch verringert sich die Rate der Abnahme geringfügig. Danach wächst die Rate der Transparenz-Abnahme im Zeitraum von 1946 bis 1950 sprunghaft an, wobei die Sichttiefe in diesem Intervall um einen leicht größeren Betrag abnimmt als im vorherigen Zeitabschnitt. Im letzten Beobachtungszeitraum von 1950 bis 1970 sinkt die Transparenz des Oberflächenwassers stark ab, um etwas mehr als den Betrag der Abnahme in den ersten beiden Intervallen zusammen. Jedoch wird die Rate der Transparenz-Abnahme im letzten Abschnitt stets kleiner, sodass der Betrag der Abnahme der Sichttiefe in der ersten Hälfte des letzten Zeitraums wesentlich größer ist als in der zweiten.
(Genaue Betrachtungen zur Entwicklung der Sichttiefe werden unter „3. Zur Veränderung der Sichttiefe" gegeben.)
Allgemeine Aussagen zu allen Diagrammen
Alle Diagramme beschreiben Vorgänge und Entwicklungen von physikalischen, chemischen und biologischen Faktoren bezüglich des Bodensees und damit beziehen sich auch alle Kurvenbeschreibungen zunächst ausschließlich auf den Bodensee. Dies schließt jedoch nicht aus, dass ähnliche Entwicklungen bei anderen Gewässern beobachtbar sind.
Beim Vergleich der verschiedenen Kurvenverläufe untereinander ist eine gewisse zeitliche Phasenverschiebung zwischen der jeweils ersten größeren Erhöhung des Anstiegs der Kurve auffällig. Zuerst beginnt die Konzentration der anorganischen Ionen merkbar anzusteigen, bevor dann auch die Phytoplanktonkonzentration verstärkt zunimmt, und schließlich kurz danach auch die Sichttiefe spürbar absinkt. Die Verzögerung bei der Sichttiefe hat auch mathematische Gründe (näheres siehe unter 3.).
Letztlich lässt sich noch die Aussage treffen, dass die Graphen und damit die Entwicklungen der jeweiligen gemessenen Faktoren im angesetzten Zeitintervall nicht periodisch verlaufen.